DAFTAR ARSIP STATIS DINAS PENDAPATAN, PENGELOLAAN KEUANGAN, DAN ASET DAFTAR III (NOMOR ARSIP : 1-1646) ARSIP GEMPA BUMI 2006 KURUN WAKTU 2006-2009 Daftar inventaris

Kode unik Pilah secara menaik Judul Level Deskripsi Tanggal Objek Digital
Bpad.Otda.T14.I.1.13.2.1121 Amandemen Surat Perjanjian Penyaluran Bantuan Rehabilitasi dan Rekonstruksi Rumah (SPPB), Nama Kelompok Masyarakat Somokaton, Kel/Desa Sitimulyo, Kecamatan Piyungan, Kabupaten Bantul, Provinsi Daerah Istimewa Yogyakarta Item 27 November Lihat
Bpad.Otda.T14.I.1.13.3.1124 Amandemen Surat Perjanjian Penyaluran Bantuan Rehabilitasi dan Rekonstruksi Rumah (SPPB), Nama Kelompok Masyarakat Wanujaya Kidul, Kel/Desa Srimartani, Kecamatan Piyungan, Kabupaten Bantul, Provinsi Daerah Istimewa Yogiyakarta. Item 27 November Lihat
Bpad.Otda.T14.I.1.13.3.1125 Amandemen Surat Perjanjian Penyaluran Bantuan Rehabilitasi dan Rekonstruksi Rumah (SPPB), Nama Kelompok Masyarakat Wonojoyo Kidul 07 RT 03, Kel/Desa Srimartani, Kecamatan Piyungan, Kabupaten Bantul, Provinsi Daerah Istimewa Yogiyakarta Item 29 November Lihat
Bpad.Otda.T14.I.1.13.3.1126 Amandemen Surat Perjanjian Penyaluran Bantuan Rehabilitasi dan Rekonstruksi Rumah (SPPB), Nama Kelompok Masyarakat Sanansari 01-IV, Kel/Desa Srimartani, Kecamatan Piyungan, Kabupaten Bantul, Provinsi Daerah Istimewa Yogiyakarta. Item 29 November Lihat
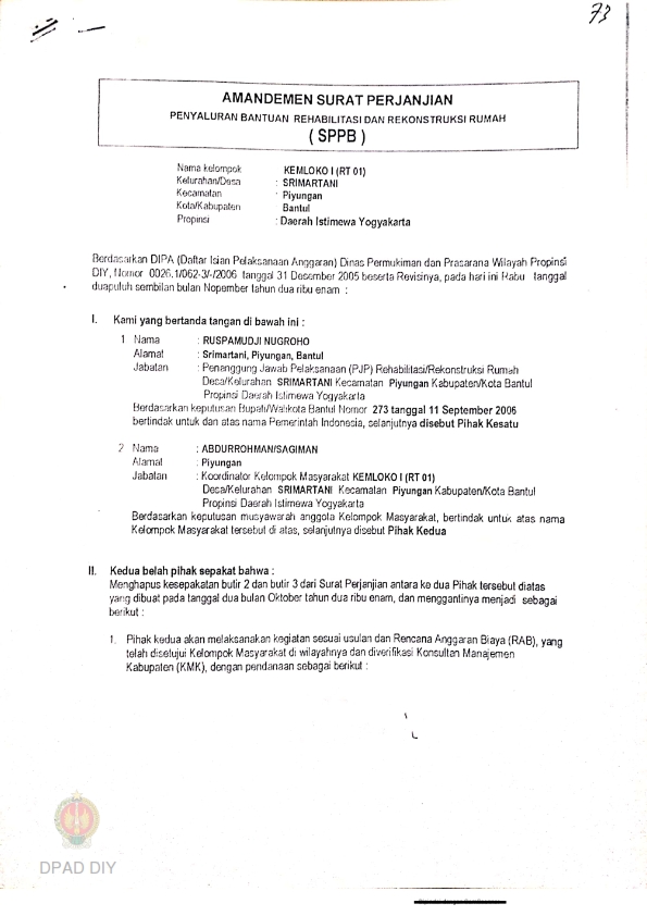
Bpad.Otda.T14.I.1.13.3.1130 Amandemen Surat Perjanjian Penyaluran Bantuan Rehabilitasi dan Rekonstruksi Rumah (SPPB), Nama Kelompok Masyarakat Kemloko 1 RT 1, Kel/Desa Srimartani, Kecamatan Piyungan, Kabupaten Bantul, Provinsi Daerah Istimewa Yogyakarta. Item 29 November Lihat
Bpad.Otda.T14.I.1.13.3.1135 Amandemen Surat Perjanjian Penyaluran Bantuan Rehabilitasi dan Rekonstruksi Rumah (SPPB), Nama Kelompok Masyarakat Kemloko V RT 3, Kel/Desa Srimartani, Kecamatan Piyungan, Kabupaten Bantul, Provinsi Daerah Istimewa Yogyakarta. Item 29 November Lihat
Bpad.Otda.T14.I.1.13.3.1136 Amandemen Surat Perjanjian Penyaluran Bantuan Rehabilitasi dan Rekonstruksi Rumah (SPPB), Nama Kelompok Masyarakat Kwasen, Kel/Desa Srimartani, Kecamatan Piyungan, Kabupaten Bantul, Provinsi Daerah Istimewa Yogyakarta. Item 29 November Lihat
Bpad.Otda.T14.I.1.13.3.1137 Amandemen Surat Perjanjian Penyaluran Bantuan Rehabilitasi dan Rekonstruksi Rumah (SPPB), Nama Kelompok Masyarakat Wanujoyo Kidul 10 dan 13 RT 05, Kel/Desa Srimartani, Kecamatan Piyungan, Kabupaten Bantul, Provinsi Daerah Istimewa Yogyakarta. Item 29 November Lihat
Bpad.Otda.T14.I.1.13.3.1138 Amandemen Surat Perjanjian Penyaluran Bantuan Rehabilitasi dan Rekonstruksi Rumah (SPPB), Nama Kelompok Masyarakat Munggur 02 s.d 09 Kel/Desa Srimartani, Kecamatan Piyungan, Kabupaten Bantul, Provinsi Daerah Istimewa Yogyakarta. Item 29 November Lihat
Bpad.Otda.T14.I.1.13.3.1142 Amandemen Surat Perjanjian Penyaluran Bantuan Rehabilitasi dan Rekonstruksi Rumah (SPPB), Nama Kelompok Masyarakat Daraman 07, Kel/Desa Srimartani, Kecamatan Piyungan, Kabupaten Bantul, Provinsi Daerah Istimewa Yogyakarta Item 29 November Lihat
Hasil 421 s.d 430 dari 1646