DAFTAR ARSIP STATIS DINAS PENDAPATAN, PENGELOLAAN KEUANGAN, DAN ASET DAFTAR III (NOMOR ARSIP : 1-1646) ARSIP GEMPA BUMI 2006 KURUN WAKTU 2006-2009 Daftar inventaris

Kode unik Pilah secara menaik Judul Level Deskripsi Tanggal Objek Digital
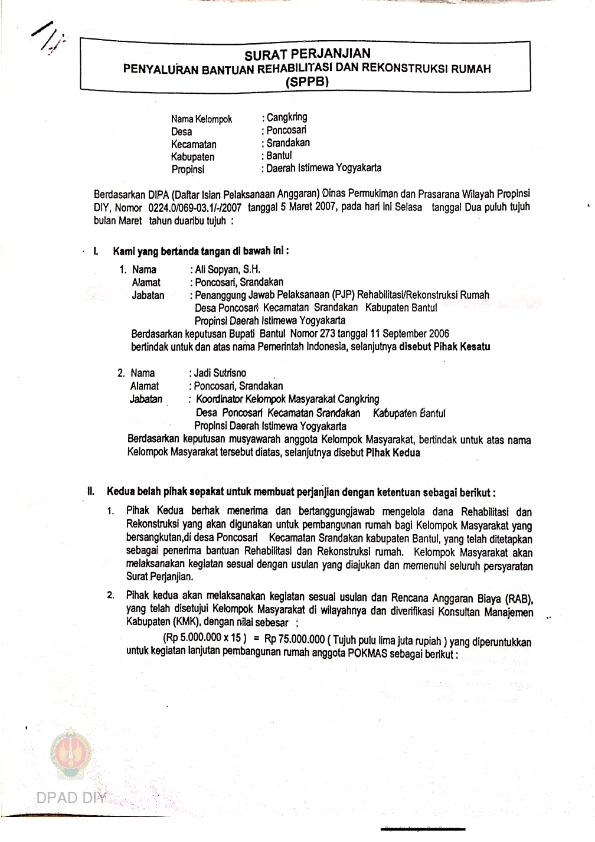
Bpad.Otda.T14.I.1.15.2.1263 Surat Perjanjian Penyaluran Bantuan Rehabilitasi dan Rekonstruksi Rumah (SPPB), Nama Kelompok Masyarakat Cangkring, Kel/Desa Poncosari, Kecamatan Srandakan, Kabupaten Bantul, Propinsi Daerah Istimewa Yogyakarta. Item 27 Maret Lihat
Bpad.Otda.T14.I.1.16.1.1272 Surat Perjanjian Penyaluran Bantuan Rehabilitasi dan Rekonstruksi Rumah (SPPB), Nama Kelompok Masyarakat Karanganom, Kel/Desa Wonokromo, Kecamatan Pleret, Kabupaten Bantul, Propinsi Daerah Istimewa Yogyakarta. Item 5 Maret Lihat
Bpad.Otda.T14.I.1.16.1.1276 Surat Perjanjian Penyaluran Bantuan Rehabilitasi dan Rekonstruksi Rumah (SPPB), Nama Kelompok Masyarakat Pandes II-1 s.d. II-25, Kel/Desa Wonokromo, Kecamatan Pleret, Kabupaten Bantul, Propinsi Daerah Istimewa Yogyakarta. Item 5 Maret Lihat
Bpad.Otda.T14.I.1.16.1.1278 Surat Perjanjian Penyaluran Bantuan Rehabilitasi dan Rekonstruksi Rumah (SPPB), Nama Kelompok Masyarakat Jejeran I-01 s.d. I-21, Kel/Desa Wonokromo, Kecamatan Pleret, Kabupaten Bantul, Propinsi Daerah Istimewa Yogyakarta. Item 26 Maret Lihat
Bpad.Otda.T14.I.1.16.3.1283 Surat Perjanjian Penyaluran Bantuan Rehabilitasi dan Rekonstruksi Rumah (SPPB), Nama Kelompok Masyarakat Cegokan I, IIA, IIB, III s.d. VI, Kel/Desa Wonolelo, Kecamatan Pleret, Kabupaten Bantul, Propinsi Daerah Istimewa Yogyakarta. Item 26 Maret Lihat
Bpad.Otda.T14.I.1.16.3.1286 Surat Perjanjian Penyaluran Bantuan Rehabilitasi dan Rekonstruksi Rumah (SPPB), Nama Kelompok Masyarakat Kedungrejo I s.d. IV, Kel/Desa Wonolelo, Kecamatan Pleret, Kabupaten Bantul, Propinsi Daerah Istimewa Yogyakarta. Item 26 Maret Lihat
Bpad.Otda.T14.I.1.16.3.1290 Surat Perjanjian Penyaluran Bantuan Rehabilitasi dan Rekonstruksi Rumah (SPPB), Nama Kelompok Masyarakat Purworejo I s.d. V, Kel/Desa Wonolelo, Kecamatan Pleret, Kabupaten Bantul, Propinsi Daerah Istimewa Yogyakarta. Item 26 Maret Lihat
Bpad.Otda.T14.I.1.16.5.1294 Amandemen Surat Perjanjian Penyaluran Bantuan Rehabilitasi dan Rekonstruksi Rumah (SPPB), Nama Kelompok Masyarakat Dahromo I – 01 s.d. 23, Kel/Desa Segoroyoso, Kecamatan Pleret, Kabupaten Bantul, Propinsi Daerah Istimewa Yogyakarta. Item 27 November Lihat
Bpad.Otda.T14.I.1.16.5.1295 Amandemen Surat Perjanjian Penyaluran Bantuan Rehabilitasi dan Rekonstruksi Rumah (SPPB), Nama Kelompok Masyarakat Segoroyoso II 01, Kel/Desa Segoroyoso, Kecamatan Pleret, Kabupaten Bantul, Propinsi Daerah Istimewa Yogyakarta. Item 27 November Lihat
Bpad.Otda.T14.I.1.16.5.1301 Amandemen Surat Perjanjian Penyaluran Bantuan Rehabilitasi dan Rekonstruksi Rumah (SPPB), Nama Kelompok Masyarakat Klorom 01 s.d. 15, Kel/Desa Segoroyoso, Kecamatan Pleret, Kabupaten Bantul, Propinsi Daerah Istimewa Yogyakarta. Item 27 November Lihat
Hasil 531 s.d 540 dari 1646